Eluer-Maclaurin求和公式
0.
在这里不想讨论公式本身,这里是求和公式的wikipedia页面

1.简单推导
1.0直觉
这一公式的基本思路在于将离散的差分转为连续的求导。
从这张图就能看出,梯形积分和不规则梯形积分的差别是较小的。
1.1 正式推导
引入微分算子
由 Taylor 公式
可以得到
这里推导
我们知道
所以
差分算子求和不具有交换性,不能直接拆括号,这里应该理解为
所以:
转换成连续形式:
注意到:
引入伯努利级数的母函数:
因此
展开得:
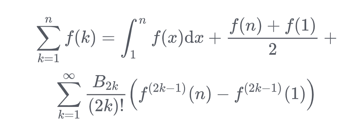
最终得到:
Q.E.D.